Hungry Bone Syndrome Pathophysiology
Hungry bone syndrome pathophysiology. Although his bone pain resolved the biochemical. While mild hypocalcemia is common after partial parathyroidectomy some people experience persistently prolonged low calcium levels. Despite the reactivation of unresected parathyroid glands producing normal to elevated levels.
It has to be considered in the differential diagnosis of postoperative hypocalcemia. Hungry bone syndrome. Hungry Bone Syndrome was defined as profound and prolonged hypocalcaemia with corrected serum calcium level of 21 mmolL or below lasting for 4 or more days that occurred anytime within 1 month following parathyroidectomy despite standard postoperative supportive treatment of our.
Hungry Bone Syndrome Continuing Education Activity. In such patients hypocalcemia is caused by the preoperative thyroid-hormone-induced high-turnover bone disease and by postoperative calcitonin release. This depletion may occur as part of hungry bone syndrome 86 in which magnesium is removed from the extracellular fluid space and deposited in bone following parathyroidectomy or total.
Hence calcitonin and dihydroxy-vitamin D3 calcitriol were instituted to reduce demineralisation of the bone. This disorder occurs following an increase of the bone formation to bone resorption ratio a state which leads to the abundant amount of calcium than that required by the organism. Clinical and biochemical predictors of its occurrence after parathyroid surgery.
--bone formation and bone resorption are both increased bone mass loss is due to acceleration of bone resorption that is greater than the increased mineral apposition rate. It usually develops after parathyroidectomy for either primary 1 or secondary hyperparathyroidism. Two weeks prior to surgery.
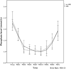
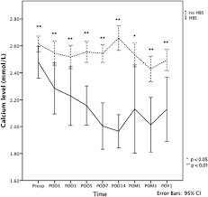
Hungry bone syndrome HBS refers to the rapid profound and prolonged hypocalcaemia associated with hypophosphataemia and hypomagnesaemia and is exacerbated by suppressed parathyroid hormone PTH levels which follows parathyroidectomy in patients with severe primary hyperparathyroidism PHPT and preoperative high bone turnover. Hungry bone syndrome. Hungry bone syndrome HBS refers to the rapid profound and prolonged hypocalcaemia associated with hypophosphataemia and hypomagnesaemia and is exacerbated by suppressed parathyroid hormone PTH levels which follows parathyroidectomy in patients with severe primary hyperparathyroidism PHPT and preoperative high bone turnover.
Hypocalcemia is an electrolytic abnormality that can have detrimental effects on the patients health if. Hungry bone syndrome is distinguished by a severe and prolonged hypocalcemia despite normal or even elevated levels of PTH due to a rapid increase of bone formation to bone resorption ratio which causes augmented requirements of calcium.
Hungry bone syndrome Hypocalcemia following parathyroidectomy or thyroidectomy despite normal or increased PTH Hypocalcemia is most often due to hypoparathyroidism or vitamin D deficiency eg malabsorption chronic kidney disease.
Hungry bone syndrome. Hungry bone syndrome. Hypocalcemia is an electrolytic abnormality that can have detrimental effects on the patients health if. It usually develops after parathyroidectomy for either primary 1 or secondary hyperparathyroidism. This is called hungry bone syndrome. It has to be considered in the differential diagnosis of postoperative hypocalcemia. Hungry bone syndrome. In such patients hypocalcemia is caused by the preoperative thyroid-hormone-induced high-turnover bone disease and by postoperative calcitonin release. The hungry bone syndrome is rare today and little known to the clinician.
Despite the reactivation of unresected parathyroid glands producing normal to elevated levels. Hungry bone syndrome is distinguished by a severe and prolonged hypocalcemia despite normal or even elevated levels of PTH due to a rapid increase of bone formation to bone resorption ratio which causes augmented requirements of calcium. Clinical and biochemical predictors of its occurrence after parathyroid surgery. Hungry bones syndrome is a disorder characterized by significant and persistent hypocalcemia even though serum parathormone levels may be normal or even augmented. Hungry bone syndrome HBS refers to the rapid profound and prolonged hypocalcaemia associated with hypophosphataemia and hypomagnesaemia and is exacerbated by suppressed parathyroid hormone PTH levels which follows parathyroidectomy in patients with severe primary hyperparathyroidism PHPT and preoperative high bone turnover. Two weeks prior to surgery. Hungry bone syndrome.




Post a Comment for "Hungry Bone Syndrome Pathophysiology"